Chcete se podílet na blogu? Napište mi.

Alkohol se dá pít různě a jeho účinky hodně záleží na kontextu. Záleží co pijete, kolik, s přáteli nebo sami, v jakou denní dobu, s jídlem nebo bez, atd. Mark Sisson ve svém novém článku rozebírá proč nesouhlasí s názorem, že jakákoli dávka alkoholu je škodlivá. Ve druhé části pak přidává seznam několika příznivých účinků mírné konzumace alkoholu. V tomto příspěvku si můžete přečíst kompletní překlad první části Markova článku a stručné shrnutí druhé části (která je placená).
Mark je známý svým pozitivním vztahem k červenému vínu, jehož střídmou konzumaci v Primal potravinové pyramidě řadí do kategorie tzv. rozumných požitků. A pokud sledujete jeho sociální sítě, museli jste si všimnout, že ve svých 72 letech se těší výtečnému zdraví a kondici navzdory sklence (nebo dvěma) vína k večeři.
Až si článek přečtete, zajímalo by mě, jaký vztah máte k alkoholu vy (já to mám podobně jako Mark).
Vyhýbáte se mu jako čert kříži? Dáte si občas sklenku něčeho dobrého obzvlášť v dobré společnosti?
Umíte v nejlepším přestat?
Pokud se občas s mírou napijete, pociťujete nějaké negativní účinky? Nebo dokonce nějaké pozitivní?
Pište prosím své zkušenosti do komentářů.
Toto je můj překlad původního článku z nového blogu Marka Sissona, který najdete tady. Pod čarou začíná překlad.
EN: This is a translated article. Here you can find the original post.
Upozornění: Podívejte, pokud máte problémy s alkoholem, chápu to. Alkoholismus je skutečný problém, který ničí životy. V tomto článku se budu zabývat umírněným, kontrolovaným a společenským pitím alkoholu. Nejedná se o doporučení, abyste s pitím začali nebo v něm pokračovali, pokud s ním máte problémy.
Vždy jsem měl rád alkohol, ale nikdy jsem ho nepil nadmíru. Alespoň posledních 20 let jsem téměř každý večer k večeři vypil jednu nebo dvě sklenky vína. Jídlo mi pak vždy víc chutnalo a upřímně řečeno, večeře byla příjemnější. Klasický steak, červené víno a skvělá konverzace u večeře jsou kombinací, která nemá konkurenci.
Asi před 10 lety jsem si všiml, že pití vína mi začalo narušovat spánek. Vypil jsem jednu nebo dvě sklenky a bez výjimky jsem se v noci jednou nebo dvakrát probudil a ráno jsem se cítil grogy. Proto jsem se rozhodl skoro rok vyzkoušet abstinovat. A skutečně, můj spánek se vrátil do normálu.
Neměl jsem žádný problém se toho vzdát, a i když mi chybělo víno k večeři, necítil jsem žádnou fyziologickou potřebu pít. Spánek je pro mě důležitější. Pak jsem dostal zprávu od chlápka jménem Todd White, který rozjížděl něco s názvem Dry Farm Wines, předplatné na krabice s pouze naturálními víny. Naturální vína se pěstují podle ekologických standardů a suchým způsobem, což znamená, že se nepoužívá umělé zavlažování, ale pouze dešťová voda. Výsledkem je komplexní, zajímavé víno s nižším obsahem alkoholu (10 až 12,5 procenta) a bez cukru. Naturální vína mají obvykle mnohem vyšší obsah polyfenolů, protože hrozny nejsou chráněny moderními hnojivy a pesticidy. Musí produkovat více polyfenolů, aby se ubránily před škůdci. Hrozny mají více „hroznovosti“. Todd mi řekl: „Marku, zkus některé z nich a uvidíš, jestli se budeš cítit jinak.“
Rozdíl byl znatelný a okamžitý. Jedna nebo dvě sklenky naturálního vína za večer už neměly vliv na můj spánek. Spíše naopak, zlepšily jeho kvalitu.
Takže když vidím lidi, kteří se vyhýbají veškerému alkoholu, protože je to nesporně, zcela a bezpochyby absolutní jed bez jakýchkoli přínosů, musím se ohradit. Myslím si, že zdravotní guruové, kteří vám říkají, že jediné zdravé množství alkoholu je žádné, vás podceňují. Neukazují vám obě strany mince.
Stejně jako u téměř všech studií týkajících se stravování, většina důkazů pro tvrzení, že neexistuje bezpečné množství alkoholu, pochází z pozorovacích studií. Zkoumají velké skupiny obyvatelstva, zjišťují, kolik pijí, a sledují jejich zdravotní stav. Poté stanoví jediné číslo, které udává takzvané riziko konzumace různých množství alkoholu pro onemocnění jako rakovina, srdeční choroby a předčasná úmrtnost.
Spojí tisíce individuálních zkušeností lidí s alkoholem do jediného čísla, které má vyjádřit účinek alkoholu na celé lidstvo, na průměrného člověka, a určitě na vás.
Částečně je to způsobeno tím, jak provádíme studie a jak se snažíme zahrnout zkušenosti desítek tisíc lidí do jediného datového bodu nebo ukazatele rizika. Převedení všech těchto osobních zkušeností do jediného čísla však neznehodnocuje skutečné životní příběhy jednotlivců, kteří se studie účastnili.
Tyto studie nevyhnutelně ignorují příklady a zkušenosti z reálného světa, které máme s určitými druhy alkoholu a určitými způsoby konzumace, které zlepšují konkrétní zdravotní ukazatele a mají příznivé fyziologické účinky.
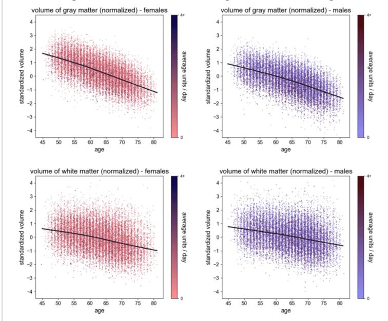
A co atrofie mozku? Pravděpodobně nejčastěji zmiňovanou námitkou proti konzumaci alkoholu je to, že snižuje objem mozku. To je hlavní argument, který Rhonda Patrick a Andrew Huberman uvádějí jako hlavní důvod, proč nepít. Jádro jejich argumentace spočívá na výsledcích rozsáhlé studie: studie UK Biobank. Zahrnovala více než 36 000 dospělých žijících v Británii a měřila objem jejich mozkové hmoty (šedé i bílé hmoty). Zjistila, že jakékoli množství alkoholu, i jen jeden nebo dva drinky denně, souvisí s menším objemem mozku.
Zní to děsivě, ale ve skutečnosti je to trochu složitější. Jednak jiné studie ukazují odlišné výsledky. Studie zabývající se multietnickou populací dospělých v New Yorku zjistila, že mírná až střední konzumace alkoholu (1–2 drinky denně) souvisí s větším objemem mozku. Víno mělo ještě silnější souvislost než jiné alkoholické nápoje. Další studie zjistila, že dánští muži, kteří pili malé množství vína (8–14 sklenic týdně) nebo lihovin (1–7 týdně), měli nižší kognitivní úbytek než muži, kteří se alkoholu zdržovali. Pivo však nemělo žádný ochranný účinek.
Zadruhé, absolutní účinek byl velmi malý. Po zohlednění všech identifikovaných proměnných mohl alkohol vysvětlit pouze 0,4 % celkových změn objemu mozku a 0,1 % změn bílé hmoty. Na individuální úrovni je to mimořádně málo, zejména ve srovnání s jinými zavedenými rizikovými faktory a determinanty objemu mozku.
Například jedním z největších korelujících faktorů pro celkovou variabilitu objemu mozku je aerobní kondice. V čím lepší kondici jste, tím větší a lépe fungující máte mozek. A intervence, při nichž jsou starší lidé zařazeni do cvičebních programů, ukazují, že pouhých šest až dvanáct měsíců tréninku může ve skutečnosti zvýšit růst mozku o jedno až dvě procenta a může dokonce zvrátit zmenšování mozku (a zlepšit paměť).
Silový trénink je dalším důležitým faktorem. Podle jedné studie zabránil rezistenční trénink u starších dospělých atrofii mozku spojené se stárnutím. Jedná se o intervenční studii, ve které byly skutečně měřeny změny způsobené tréninkem, nikoli pouze observační analýza. Pokud jde o objem mozku, jedna studie zjistila, že čistá svalová hmota stehenních svalů předpovídá objem mozku u starších dospělých. Jiná studiezjistila, že celkový objem krčních svalů předpovídá 17 % celkové variability objemu mozku. To je pádný argument pro trénink krku.
Tohle by nemělo být překvapivé. Sval je endokrinní orgán, který uvolňuje IGF-1, který je nezbytný pro neurogenezi a udržování neuronů.
Dalším faktorem je sociální izolace. Lidé, kteří jsou osamělí a sociálně izolovaní, mají obvykle menší objem mozku než lidé, kteří osamělí nejsou. Dokonce se zdá, že pocit osamělosti může předpovídat nástup demence, přičemž tento vztah je zprostředkován snížením objemu šedé hmoty. Můj upřímný názor? Sociální a mozkové účinky sklenky vína při happy hour nebo pár piv s kamarády o víkendu mohou převážit nad potenciálním negativním vlivem na objem nebo funkci mozku. Je velmi pravděpodobné, že pro váš mozek je lepší dát si drink s přítelem, než se úplně zdržet alkoholu a toho přítele nevidět.
Spánek může být nejdůležitějším faktorem. Spánek kratší než pět hodin za noc je spojen s menším objemem mozku ve srovnání se spánkem trvajícím 7 až 8 hodin. A to na základě stejného souboru dat jako studie o alkoholu: UK Biobank. Je velmi pravděpodobné, že velká část lidí ve studii UK Biobank, u nichž došlo ke zhoršení objemu mozku v důsledku konzumace alkoholu, pila pozdě v noci, chodila spát ještě opilá a ničila si spánek. Čtěte dál a dozvíte se více o tom, jak důležité je načasování při pití alkoholu.
A konečně, pokud se podíváte na samotnou studii a rozptylový graf, uvidíte trendovou čáru, ale trend je poměrně slabý a nad i pod ním se nachází mnoho desítek tisíc lidí. To znamená, že existuje spousta lidí, kteří v životě nikdy nepili alkohol a mají malý objem mozku, a existuje mnoho tisíc lidí, kteří každý den pijí mírné množství alkoholu a mají normální objem mozku. To ukazuje, že individuální rozdíly jsou obrovské a že při určování objemu mozku hraje větší roli mnoho dalších faktorů než jen to, zda vypijete sklenku vína.

Pamatujte, že nejste trendová křivka. Můžete si dát sklenku vína k večeři a zároveň se scházet s přáteli, udržovat sociální kontakty, tvrdě trénovat v posilovně, udržovat si dobrou svalovou hmotu a kardiorespirační kondici. Všechny tyto věci mohou existovat společně a důraz na ony silnější faktory bude mít na zdraví vašeho mozku větší dopad než to, zda vypijete sklenku vína nebo jedno pivo.
Hodně se mluví o údajných souvislostech mezi dokonce i mírným pitím alkoholu a zdravím mozku. Většina těchto souvislostí je stanovena pomocí takzvané mendelovské randomizace, která se zabývá geny, které podle všeho předpovídají chování související s konzumací alkoholu. Ta ve skutečnosti nezkoumá konzumaci alkoholu. Zkoumá, zda osoba, která je nositelem určitých genů souvisejících s alkoholem, má vyšší riziko demence.
Mendelovská randomizace nestuduje skutečné pití alkoholu. Studuje geny, o nichž se předpokládá, že předurčují pití alkoholu, a z toho pak vyvozuje zbytek.
Může zjistit, že „genetická predispozice k většímu pití alkoholu souvisí s Alzheimerovou chorobou“.
Ale nemůže zjistit, že „pití červeného vína k newyorskému steaku v 17 hodin při večeři s přáteli způsobuje Alzheimerovu chorobu“.
Dalším velkým problémem je, kdo vám říká, abyste nepili. Mnoho influencerů v oblasti zdraví a odborníků na dlouhověkost, kteří tvrdí, že alkohol je jed, jsou ti samí lidé, kteří jedí jednou denně. Lidé, kteří jedí tisíc kalorií denně a berou hrsti doplňků, aby na konci své pozemské existence vyždímali ještě pár let navíc. Lidé, kteří jsou v hluboké ketóze. Ketogeneze funguje stejným způsobem, jakým metabolizujeme a detoxikujeme alkohol, takže pokud jsme v hluboké ketóze, můžete mít špatnou reakci na alkohol. Jsem velkým fanouškem cílené ketózy a používám ji jako nástroj k dosažení metabolické flexibility nebo k léčbě konkrétních zdravotních stavů, ale pro průměrného člověka to nemusí být nutně ideální konečný stav. Tento druh stravování však s alkoholem příliš dobře nefunguje. A také si myslím, že právě proto má mnoho těchto influencerů v oblasti zdraví problémy s alkoholem.
A pak je tu ještě nocebo efekt.
Pokud máte v hlavě zakořeněnou předem vytvořenou představu z podcastů, které vám říkají, jak nebezpečný je alkohol, můžete mít na alkohol nepřiměřeně negativní reakci. Pamatujte, že placebo funguje oběma směry.
Ale nejhorší jsou ti, kteří celý svůj život podřizují nejnovější studii, kterou si přečetli.
Lidé, kteří strávili tolik hodin probíráním observačních dat spojujících konzumaci alkoholu s určitými potížemi, že jsou o těch závěrech přesvědčeni a aktivně pak vyhledávají sebemenší vychýlení svého subjektivního zdravotního stavu, aby si své bádání potvrdili, se zákonitě budou „cítit špatně“, když si dají sklenku Malbecu.
Dobře, možná bylo nebezpečí alkoholu pro mozek přeceňováno. Má ale pití alkoholu nějaké skutečné přínosy? Ano, má.
Tak to byla neplacená část článku. Zbytek si můžete přečíst po zaplacení měsíčního poplatku 8 USD. Abyste věděli, co tam najdete, tu máte rychlé shrnutí zbytku článku 😉
• Kontext je klíčový: Kontrolované studie s podáváním vína k jídlu ukazují jemné a někdy prospěšné účinky, na rozdíl od většiny negativních pozorovacích studií.
• Víno k jídlu: Červené víno k jídlu zlepšuje zánětlivou reakci na dané jídlo, snižuje tvorbu oxidovaných produktů cholesterolu ve střevech a může snížit hyperglykémii po jídle.
• LDL cholesterol: Červené víno zvyšuje odolnost LDL cholesterolu vůči oxidaci, což je považováno za ochranný účinek proti ateroskleróze; vědci to přisuzují polyfenolům.
• Endoteliální funkce: Mírné pití (1–2, dokonce 3 drinky) akutně zlepšuje endoteliální funkci u pacientů se srdečním onemocněním a zvyšuje schopnost endotelu opravovat se. Vyšší dávky však funkci narušují.
• Kognitivní schopnosti: Nízké dávky alkoholu zlepšují kognitivní schopnosti a učení (např. lepší výkony studentů jazyků).
• Čas je důležitější než množství: Čas konzumace je skoro důležitější než vypité množství.
• Narušení cirkadiánního rytmu: Problémové pití se často odehrává pozdě v noci, což narušuje spánek a cirkadiánní rytmy.
• Melatonin a spánek: Alkohol narušuje spánek inhibicí vylučování melatoninu, ale všechny negativní studie se zabývají konzumací pozdě večer (mezi 20:00 a 24:00).
• Doporučená rezerva: Pití brzy večer k večeři (např. v 18:00) umožňuje organismu odstranit alkohol do 21:00, kdy začíná normální vylučování melatoninu, což zajišťuje dobrý spánek. Autor udržuje 3–4 hodinovou rezervu.
• Dopamin = Motivace: Dopamin je neurotransmiter motivace, ne potěšení; uvolňuje se, aby signalizoval pokračování v činnosti.
• Stabilizace: Hladina dopaminu stoupne po prvním nebo druhém drinku a poté se ustálí. Pokud se pije dál, klesá.
• Nejbezpečnější množství: Skutečnost, že se hladina dopaminu po 1–2 drincích vyrovnává, naznačuje, že toto je nejbezpečnější množství alkoholu, pokud chceme pít.
• Celkový kontext zdraví: Pokud alkohol nepůsobí negativně, a pokud člověk zároveň dobře spí, trénuje, buduje svalovou hmotu a udržuje sociální kontakty, neexistují přesvědčivé důkazy o tom, že by mírná konzumace zkracovala život.
• Zdraví vs. posedlost: Autor (72 let) pije dvě sklenky vína k večeři a cítí se dobře. Zdraví znamená necítit žádné bolístky a negativní signály od svého těla.
• Úhel pohledu: Hyperzdraví abstinenti často negativně interpretují pocity spojené s alkoholem (např. „bzukot v hlavě“ jako degeneraci neuronů nebo uvolnění jako narušený kortizolový rytmus); vnímání účinků je o úhlu pohledu.
Problém alkoholu je tolerancia .Na dosiahnutie predošlého efektu je potrebné postupne zvyšovať dávku , čím sa eliminujú možno preventívne účinky malých dávok a začínaju prevažovať efekty z poškodení rozmanitých orgánov
pri pití večších množstiev ….
Otázkou je, jaký efekt člověk hledá. Pokud to je vychutnat si sklenku dobrého vína s rodinou nebo přáteli k dobrému obědu nebo večeři, tak tam stačí ta malá dávka. Pokud někdo alkohol používá třeba aby na chvíli zapomněl na své problémy, je to špatně. Pak už se nebavíme o tom „umírněném“ pití, o kterém píše Mark, ale o něčem jiném.